About
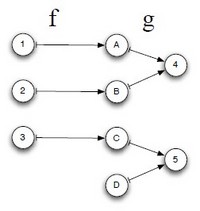
Functions + Class - Composition (Composite | Component)
- <math>f : A \rightarrow B</math>
- and <math>g : B \rightarrow C</math>
the functional composition of f and g is the function:
- <math>(g \circ f) : A rightarrow C</math>
defined by:
- <math>(g \circ f)(x) = g(f (x))</math>
Articles Related
Example
Associativity
Associativity of function composition: <math>h \circ (g \circ f) = (h \circ g) \circ f</math>
<math>(h \circ (g \circ f))(x)</math> =
- <math>h(g \circ f)(x)</math>
- <math>h(g(f(x)))</math>
- <math>(h \circ g)(f(x))</math>
- <math>((h \circ g) \circ f)(x)</math>




